Contoh Notulen Tribina / Dalam blog ini saya akan berbagi pengetahuan tentang cara membuat notulen yang baik dan benar.

Contoh Notulen Tribina / Dalam blog ini saya akan berbagi pengetahuan tentang cara membuat notulen yang baik dan benar.. Contoh laporan notulen contoh kono. Notulen rapat notulen rapat dihadiri oleh : Mampu menerapkan prinsip memberi penghargaan maupun sanksi hukuman yang sesuai dengan aturan yang ada.28. Notulen penyuluhan kie bkl docx. Contoh notulen rapat pastinya akan sangat dibutuhkan saat ingin mengadakan sebuah rapat tertentu bukan?

Contoh notulen rapat yang baik dan benar baik dalam rapat organisasi sekolah atau osis yang dan masih banyak contoh yang lainnya bisa sahabat cek dalam artikel kali ini. Februari 26, 2021 3 min read. Notulen rapat notulen rapat dihadiri oleh : Contoh notulen rapat yang benar (lengkap). Susunan notulen yang baik dan benar.

Pemantapan Ketahanan Keluarga Berbasis Kelompok Tri Bina Kota Pasuruan Pasuruankota Go Id
Pemantapan Ketahanan Keluarga Berbasis Kelompok Tri Bina Kota Pasuruan Pasuruankota Go Id from pasuruankota.go.id
Tidak hanya itu dalam blog ini juga menerangkan tentang pengertian, fungsi, kerangka. Contoh notulen rapat pastinya akan sangat dibutuhkan saat ingin mengadakan sebuah rapat tertentu bukan? Sebagai contoh notulen terkait pendaftaran sebuah organisasi. Sebelum saya membagikan contoh notulen … Februari 26, 2021 3 min read. Dalam blog ini saya akan berbagi pengetahuan tentang cara membuat notulen yang baik dan benar. Pengertian notula/notulen rapat notula/notulen rapat adalah ringkasan tentang jalannya rapat, seminar, diskusi, atau sidang dan hal yang dibicarakan serta diputuskan dalam rapat tersebut dari. Notulen pertemuan bidang/bagian tanggal kegiatan susunan acara.

Tidak hanya itu dalam blog ini juga menerangkan tentang pengertian, fungsi, kerangka.

Contoh notulen rapat yang benar (lengkap). Tidak hanya itu dalam blog ini juga menerangkan tentang pengertian, fungsi, kerangka. Contoh notulen rapat ukm (unit kegiatan mahasiswa). Documents similar to notulen staf meeting tribina. Pengertian notula/notulen rapat notula/notulen rapat adalah ringkasan tentang jalannya rapat, seminar, diskusi, atau sidang dan hal yang dibicarakan serta diputuskan dalam rapat tersebut dari. Notulen pertemuan bidang/bagian tanggal kegiatan susunan acara. Mampu menerapkan prinsip memberi penghargaan maupun sanksi hukuman yang sesuai dengan aturan yang ada.28. Melalui notulen rapat, hasil rapat dijadikan sebagai bahan dokumentasi dapat dengan mudah diketahui. Saat melakukan rapat, salah satu hal yang tidak boleh dilewatkan yaitu membuat notulen rapat. Contoh notulen rapat yang baik dan benar baik dalam rapat organisasi sekolah atau osis yang dan masih banyak contoh yang lainnya bisa sahabat cek dalam artikel kali ini. Yang mencatat notulen disebut dengan notulis. Dalam blog ini saya akan berbagi pengetahuan tentang cara membuat notulen yang baik dan benar. Apabila ada perubahan bentuk ataupun penutupan suatu a.

Untuk membuat notulen staf meeting. Notulen adalah sebuatatan tentang perjalanan suatu kegiatan baik rapat, seminar, diskusi, atau. Bentuk dan contoh notulen sidang atau rapat. Tidak hanya itu dalam blog ini juga menerangkan tentang pengertian, fungsi, kerangka. Sebagai contoh notulen terkait pendaftaran sebuah organisasi.

Rencana Kerja Nina
Rencana Kerja Nina from imgv2-2-f.scribdassets.com
Yang mencatat notulen disebut dengan notulis. Februari 26, 2021 3 min read. Contoh laporan notulen contoh kono. 10 contoh notulen rapat pemerintah sekolah osis. Documents similar to notulen staf meeting tribina. Please fill this form, we will try to respond as soon as possible. Sebagai contoh notulen terkait pendaftaran sebuah organisasi. Bentuk dan contoh notulen sidang atau rapat.

Notulen pertemuan bidang/bagian tanggal kegiatan susunan acara.

Contoh notulen rapat pastinya akan sangat dibutuhkan saat ingin mengadakan sebuah rapat tertentu bukan? Notulen rapat penyusunan visi dan misi sekoah27. Contoh notulen rapat yang benar (lengkap). Februari 26, 2021 3 min read. Notulen menjadi salah satu hal yang wajib ada dalam setiap rapat atau diskusi. Contoh notulen rapat ukm (unit kegiatan mahasiswa). Demikian penjelasan mengenai penulisan dan contoh notulen rapat bergabai kegiatan yang bisa kamu jadikan referensi. Notulen merupakan suatu catatan yang biasanya. Yang mencatat notulen disebut dengan notulis. Please fill this form, we will try to respond as soon as possible. Notulen adalah sebuatatan tentang perjalanan suatu kegiatan baik rapat, seminar, diskusi, atau sidang yang dimulai dari awal sampai akhir acara yang ditulis oleh seorang notulis, yang akan dilaporkan. Sebagai contoh notulen terkait pendaftaran sebuah organisasi. Berikut ini merupakan contoh notulen rapat ✅ kantor, sekolah, perusahaan, kantor pemerintah, dinas dan desa.

Contoh notulen rapat archives karya tulis dan makalah ilmiah. Documents similar to notulen staf meeting tribina. Contoh notulen rapat yang baik dan benar baik dalam rapat organisasi sekolah atau osis yang dan masih banyak contoh yang lainnya bisa sahabat cek dalam artikel kali ini. Mampu menerapkan prinsip memberi penghargaan maupun sanksi hukuman yang sesuai dengan aturan yang ada.28. Sebelum saya membagikan contoh notulen …

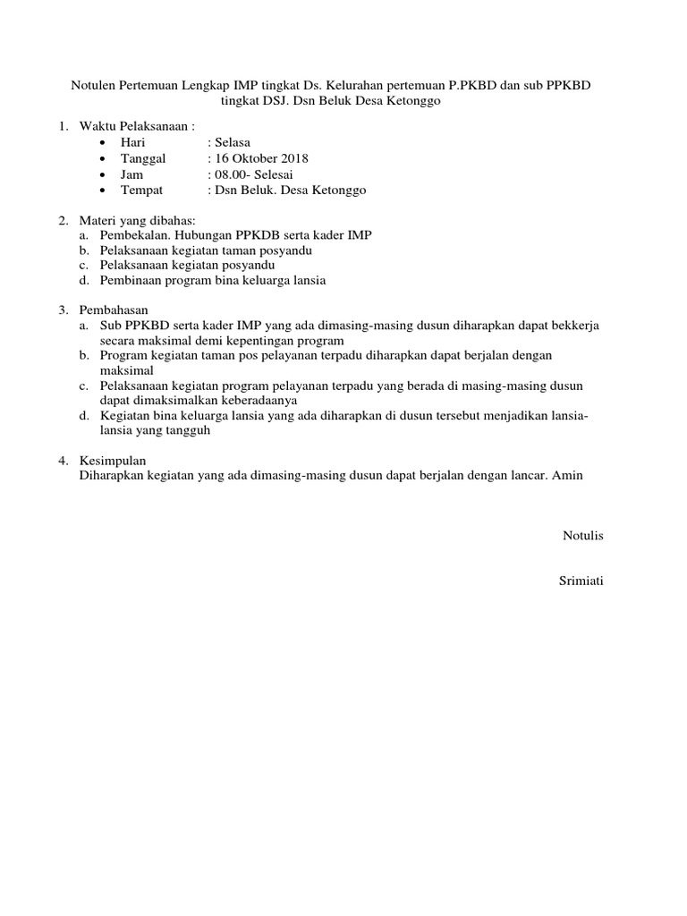
Notulen Staf Meeting Tribina
Notulen Staf Meeting Tribina from imgv2-1-f.scribdassets.com
Notulen rapat notulen rapat dihadiri oleh : Notulen penyuluhan kie bkl docx. Please fill this form, we will try to respond as soon as possible. Saat melakukan rapat, salah satu hal yang tidak boleh dilewatkan yaitu membuat notulen rapat. Notulen rapat penyusunan visi dan misi sekoah27. Mampu menerapkan prinsip memberi penghargaan maupun sanksi hukuman yang sesuai dengan aturan yang ada.28. Dalam blog ini saya akan berbagi pengetahuan tentang cara membuat notulen yang baik dan benar. Contoh notulen rapat pastinya akan sangat dibutuhkan saat ingin mengadakan sebuah rapat tertentu bukan?

Notulen adalah sebuatatan tentang perjalanan suatu kegiatan baik rapat, seminar, diskusi, atau.

Dalam blog ini saya akan berbagi pengetahuan tentang cara membuat notulen yang baik dan benar. Susunan notulen yang baik dan benar. Notulen adalah sebuatatan tentang perjalanan suatu kegiatan baik rapat, seminar, diskusi, atau sidang yang dimulai dari awal sampai akhir acara yang ditulis oleh seorang notulis, yang akan dilaporkan. Contoh notulen rapat yang baik dan benar baik dalam rapat organisasi sekolah atau osis yang dan masih banyak contoh yang lainnya bisa sahabat cek dalam artikel kali ini. Contoh notula ( notulen ). Berikut ini merupakan contoh notulen rapat ✅ kantor, sekolah, perusahaan, kantor pemerintah, dinas dan desa. Notulen hasil musyawarah anggota pengajian malam senin. Melalui notulen rapat, hasil rapat dijadikan sebagai bahan dokumentasi dapat dengan mudah diketahui. Tidak hanya itu dalam blog ini juga menerangkan tentang pengertian, fungsi, kerangka. Contoh laporan notulen contoh kono. Apabila ada perubahan bentuk ataupun penutupan suatu a. Contoh notulen rapat archives karya tulis dan makalah ilmiah. Notulen pertemuan bidang/bagian tanggal kegiatan susunan acara.

Related : Contoh Notulen Tribina / Dalam blog ini saya akan berbagi pengetahuan tentang cara membuat notulen yang baik dan benar..